Para lograr alta sensibilidad lumínica en cámaras de CCTV, se deben considerar varios factores:
- Tiempo de exposición: Aumentarlo permite capturar más luz.
- Calidad y tamaño del sensor: Sensores más grandes captan más luz, mejorando la sensibilidad.
- Calidad de la lente: Una lente de mayor calidad contribuye a una mejor captura de luz. La calidad de la lente viene determinada por el número F.
- El número F de la lente indica la apertura máxima de la lente, que afecta a la cantidad de luz que llega al sensor.
- Abertura del iris: Controlada por la cámara, afecta la cantidad de luz que entra. Para una mayor abertura se requiere utilizar lentes con un número F bajo.
- El Control Automático de Ganancia: La función AGN (Automatic Gain Control) ajusta automáticamente la sensibilidad del sensor para mejorar la imagen en condiciones de baja iluminación.
Lo habitual, cuando un fabricante proporciona la sensibilidad de una cámara de CCTV, es que ésta venga expresada en luxes para un determinado F con la función AGC encendida. A continuación vamos a intentar clarifaicar estos tres conceptos.
¿Qué son los luxes?
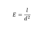
Los luxes son una medida de iluminancia, es decir, la cantidad de luz que incide sobre una superficie. Se miden en lux (lx), donde 1 lux equivale a la iluminación de 1 lumen por metro cuadrado (lm/m²). Para calcular los luxes en relación con la distancia focal, se puede usar la fórmula:

Donde:
- ( E ) es la iluminancia en luxes (lx),
- ( I ) es la intensidad luminosa en candelas (cd),
- ( d ) es la distancia entre el foco luminoso y la superficie en metros (m).
A continuación se detalla en esta tabla una medida de los luxes de escenarios de baja luminosidad:
| Escenario | Iluminancia (lux) |
| Cielo estrellado sin luna | 0.001 – 0.002 |
| Noche sin luna | 0.0001 – 0.002 |
| Área rural sin iluminación artificial | 0.01 – 0.03 |
| Áreas suburbanas con iluminación distante | 0.03 – 0.3 |
| Calle iluminada con farolas | 1 – 10 |
| Habitación con poca luz | 100 |
| Iluminación de unas escaleras o un pasillo | 100 – 300 |
¿Qué es el número F que determina la calidad de una lente?
Primero es necesario saber qué es la distancia focal en cámaras de CCTV, ésta es la distancia entre el centro óptico del objetivo y el sensor o plano focal donde se proyecta la imagen. Afecta el ángulo de visión y, por ende, la cantidad de escena que la cámara puede capturar.
El número F se calcula dividiendo la distancia focal entre el diámetro de la apertura de la lente:

Donde:
- ( N ) es el número F
- ( f ) es la distancia focal
- ( D ) es el diámetro de la apertura de la lente.
La relación entre el número F y la distancia focal es directa; a medida que aumenta la distancia focal, para mantener el mismo número F, el diámetro de la apertura debe aumentar proporcionalmente. Esto significa que una lente con una distancia focal más larga y un número F bajo tendrá una apertura más grande, permitiendo más luz y siendo más adecuada para condiciones de baja luminosidad.

¿Qué es la función AGC?
El Control Automático de Ganancia (AGC) incrementa la sensibilidad lumínica de una cámara de CCTV ajustando automáticamente la señal a un nivel apropiado para visualización y grabación. En el vídeo, el AGC ajusta automáticamente la sensibilidad del elemento sensor para reproducir más nítidamente la imagen, amplificando la señal de vídeo para compensar las condiciones de baja iluminación. Sin embargo, esta amplificación puede generar cierto ruido en la imagen, lo que se manifiesta como un brillo o color que no corresponde con la realidad.
Con todo lo anterior, entender las especificaciones de los fabricantes de CCTV en cuanto a sensibilidad lumínica es mucho más sencillo.
Artículo publicado el LinkedIn el 08/04/2024, para acceder al artículo pulsar aquí.
